标准查询网-电话:010-62993931

GB 19855—2005《月饼》国家标准第1号修改单发布

点击数: 【字体: 收藏 打印文章 查看评论
 

  GB19855-2005《月饼》国家标准第1号修改单已由国家标准化管理委员会于2006年3月29日以国标委农轻函[2006]10号文批准,并在《中国标准化》2006年第5期上公布,自批准之日起实施。

GB19855-2005《月饼》国家标准修改内容如下:

1.9.3.2条修改为:“9.3.2 每千克月饼的销售包装容积应不超过9.00×103cm3;包装材质应符合环保要求及食品卫生要求。”

2.“附录A(资料性附录)单粒包装空位测定方法”及其内容,修改为“附录A(资料性附录)每千克月饼的销售包装容积的测定”,内容如下。

附录A

(资料性附录)

每千克月饼的销售包装容积的测定

A.1 仪器

A.1.1 天平(感应量0.1克)

A.1.2 直尺(最小刻度mm)

A.2测定方法

A.2.1 月饼质量测定

将销售包装中的月饼分别从单粒包装中取出,用天平称量月饼的总质量。

A.2.2 月饼销售包装容积测定

先将月饼取出,再将内置和底托等所有包装附属物从销售包装中取出。

长方体销售包装:沿内壁测量长、宽、高,按公式(1)计算出该销售包装的容积。

V = l × w × h ……………………………………(1)

式中:

l — 月饼销售包装内部的长(cm)

w — 月饼销售包装内部的宽(cm)

h — 月饼销售包装内部的高(cm)

V — 月饼销售包装容积(cm3)

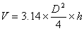
圆柱体销售包装:沿内壁测量直径、高,按公式(2)计算出该销售包装的容积。

……………………………………(2)

式中:

D — 月饼销售包装内部的直径(cm)

h — 月饼销售包装内部的高(cm)

V — 月饼销售包装容积(cm3)

注:其他形状销售包装参照此方法计算该销售包装的容积。

A.3每千克月饼的销售包装容积

每千克月饼的销售包装容积按公式(2)计算:

……………………………………(3)

式中:

y — 每千克月饼的销售包装容积(cm3/kg)

m — 月饼总质量(kg)

V — 月饼销售包装容积(cm3)

作者:佚名 来源:标准网 发布时间:2006年04月17日
相关信息
没有相关内容
用户信息中心
本月排行TOP10
  • 还没有任何项目!
联系我们  |  关于我们  |  友情链接  |  版权声明  |  管理登录
Copyright ©2010 - 2015 北京中标金质科技有限责任公司 电话:010-62993931 地址:北京市海淀区后屯南路26号专家国际公馆5-20室
备案编号:京公网安备11010802008867号 京ICP备09034504号 新出发京零字第海140366号